绿氮生物创新解决方案与实施成果
数据显示,在投入成本基本不变的情况下,净收益达到10.86万元/亩,产投比高达8.19,远超传统种植方式!
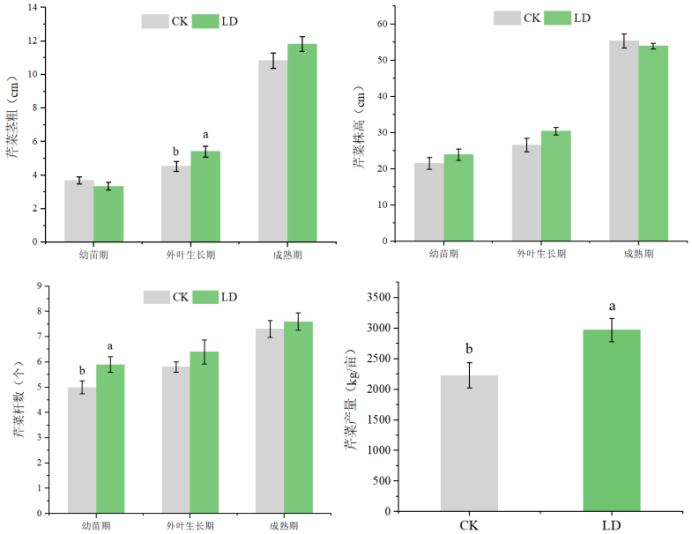
产量提升33.18%,实现大幅增产
净收益提高38.17%,经济效益显著
产投比提升31.46%,投资回报率大幅提高

活菌对比:左侧未用菌,右侧应用绿氮复合芽孢杆菌
绿氮活菌(DME复合芽孢杆菌,即:活芽1号)通过多重作用机制实现“健康栽培、生态防控、高产优质”的目标:
土壤改良:活化土壤养分,改善微生物群落结构
根系促进:增强根系发育,提高养分吸收效率
生长调控:刺激植株生长潜能,促进茎秆粗壮
病害防治:减少土传病害发生,破除连作障碍
品质提升:促进养分均衡吸收,改善作物品质
绿氮活菌不仅适用于芹菜,也为有机设施蔬菜的增产增效,提供实践检验的可靠路径:
(点击👆图片查看更多岗位)